咸宁人事考试网发布咸宁公务员考试、事业单位、教师招聘信息,包括咸宁公务员考试、事业单位招聘、教师招聘考试公告、报名时间、报名入口、职位表等。
…
咸宁人事考试网 微信公众号
咸宁人事考试网发布咸宁公务员考试、事业单位、教师招聘信息,包括咸宁公务员考试、事业单位招聘、教师招聘考试公告、报名时间、报名入口、职位表等。
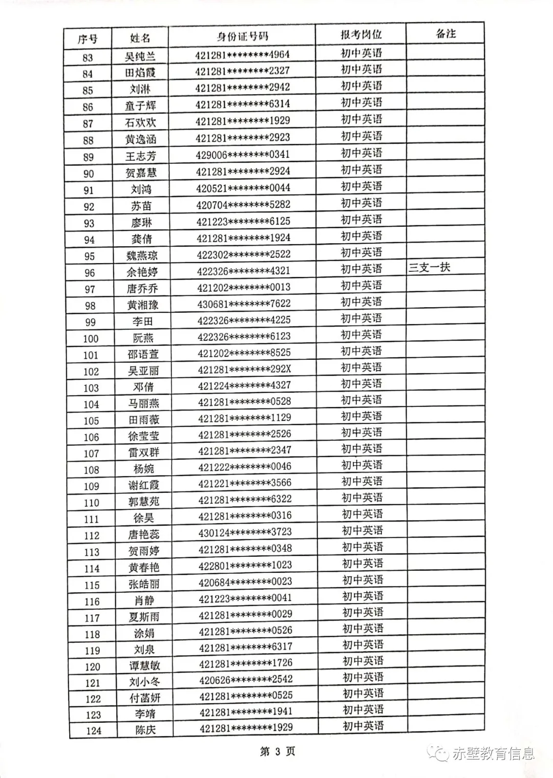
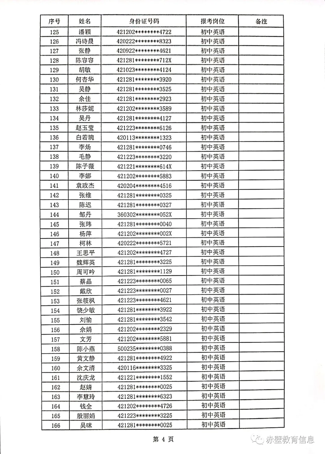
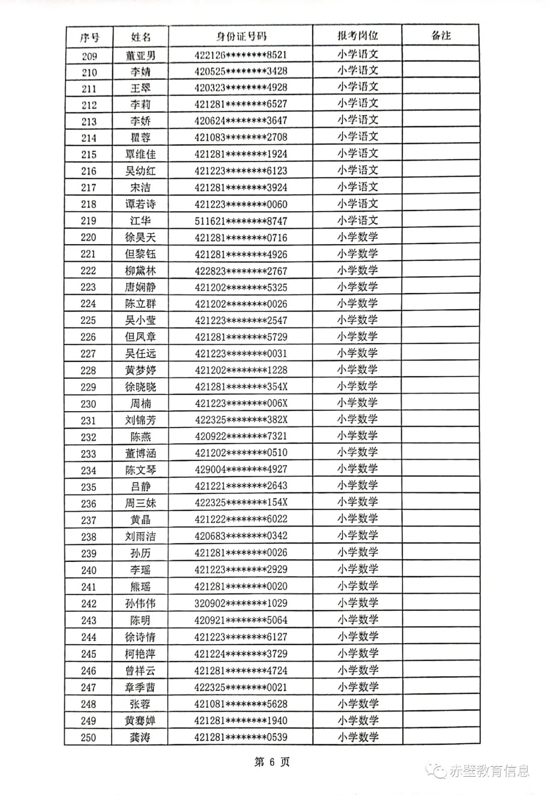
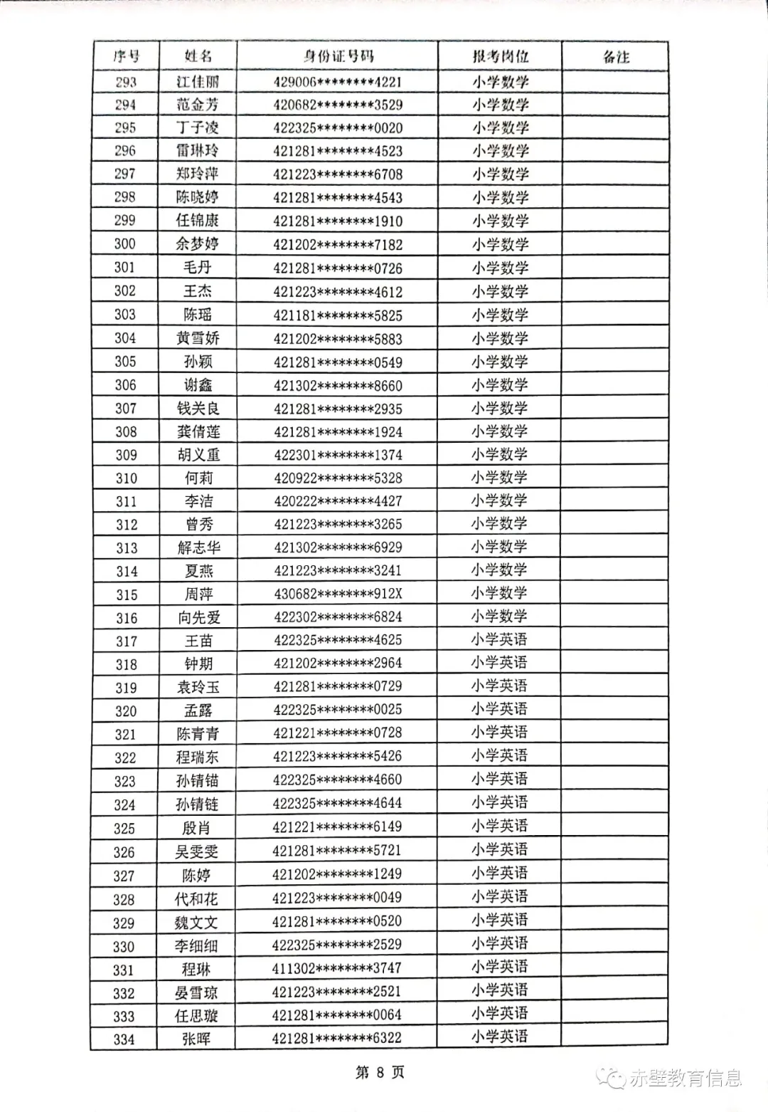
2020年赤壁市城区学校教师和会计第二次招聘报名初审合格者名单公布











本文来源于网络,不代表湖北人事考试网立场,转载请注明出处:http://www.hbrsks.cc/?id=7409