咸宁人事考试网发布咸宁公务员考试、事业单位、教师招聘信息,包括咸宁公务员考试、事业单位招聘、教师招聘考试公告、报名时间、报名入口、职位表等。
        …
    咸宁人事考试网  微信公众号
     
    
        
                        咸宁人事考试网发布咸宁公务员考试、事业单位、教师招聘信息,包括咸宁公务员考试、事业单位招聘、教师招聘考试公告、报名时间、报名入口、职位表等。
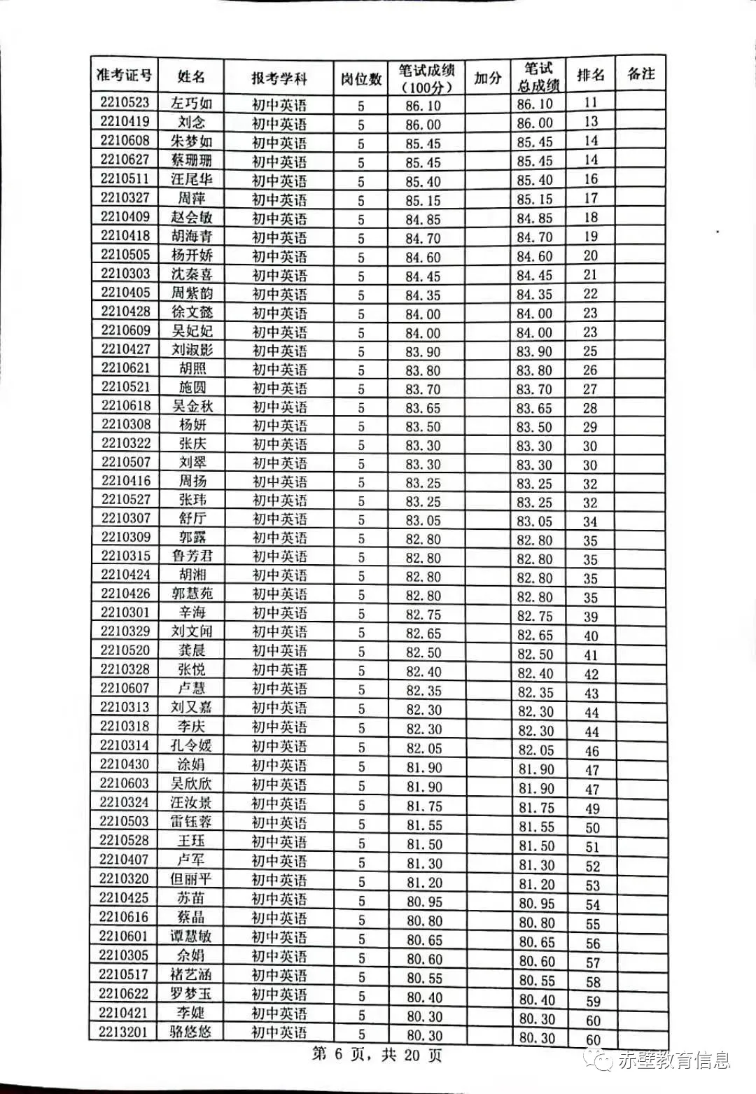
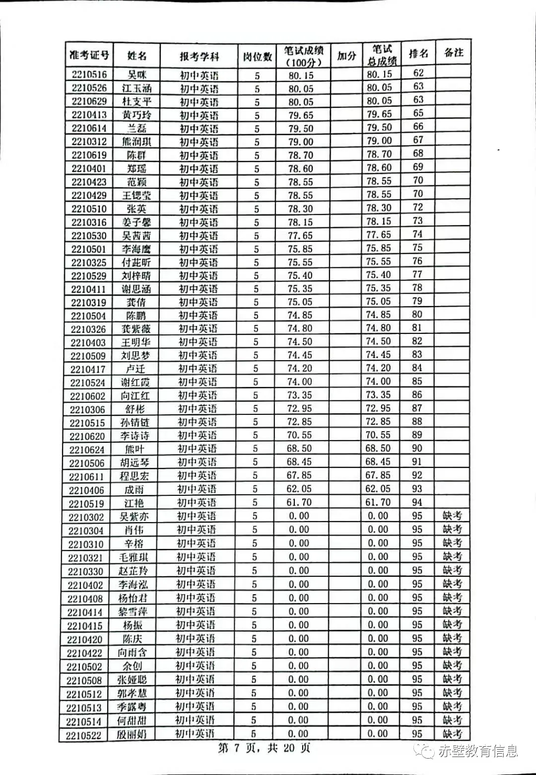
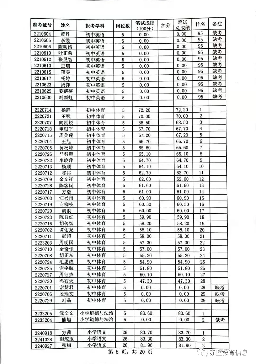
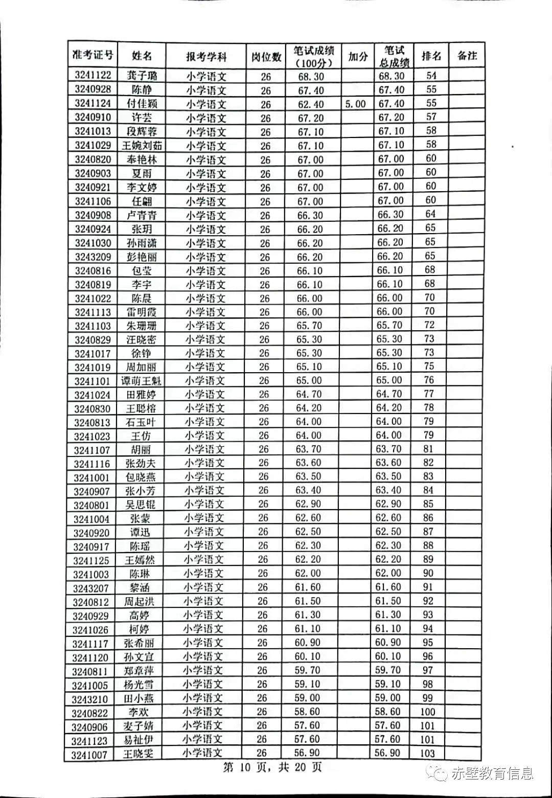
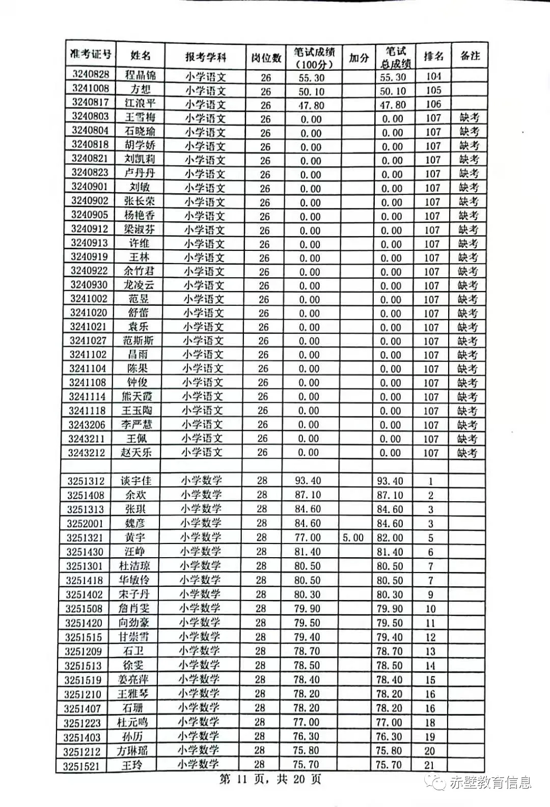
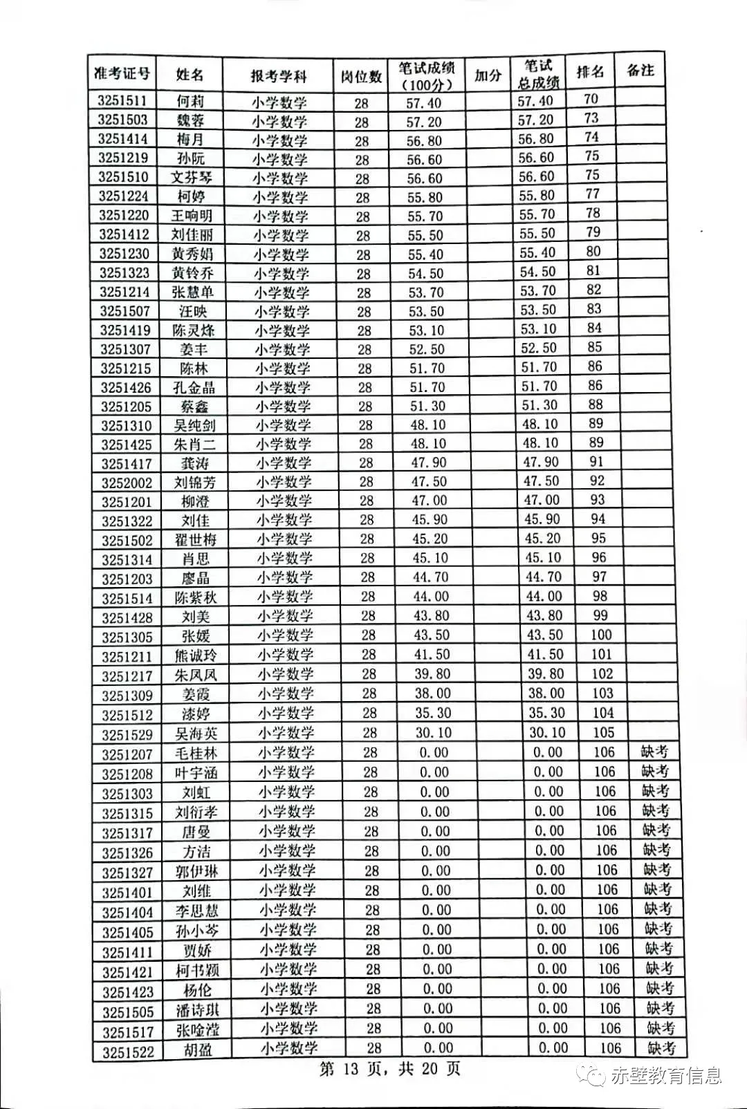
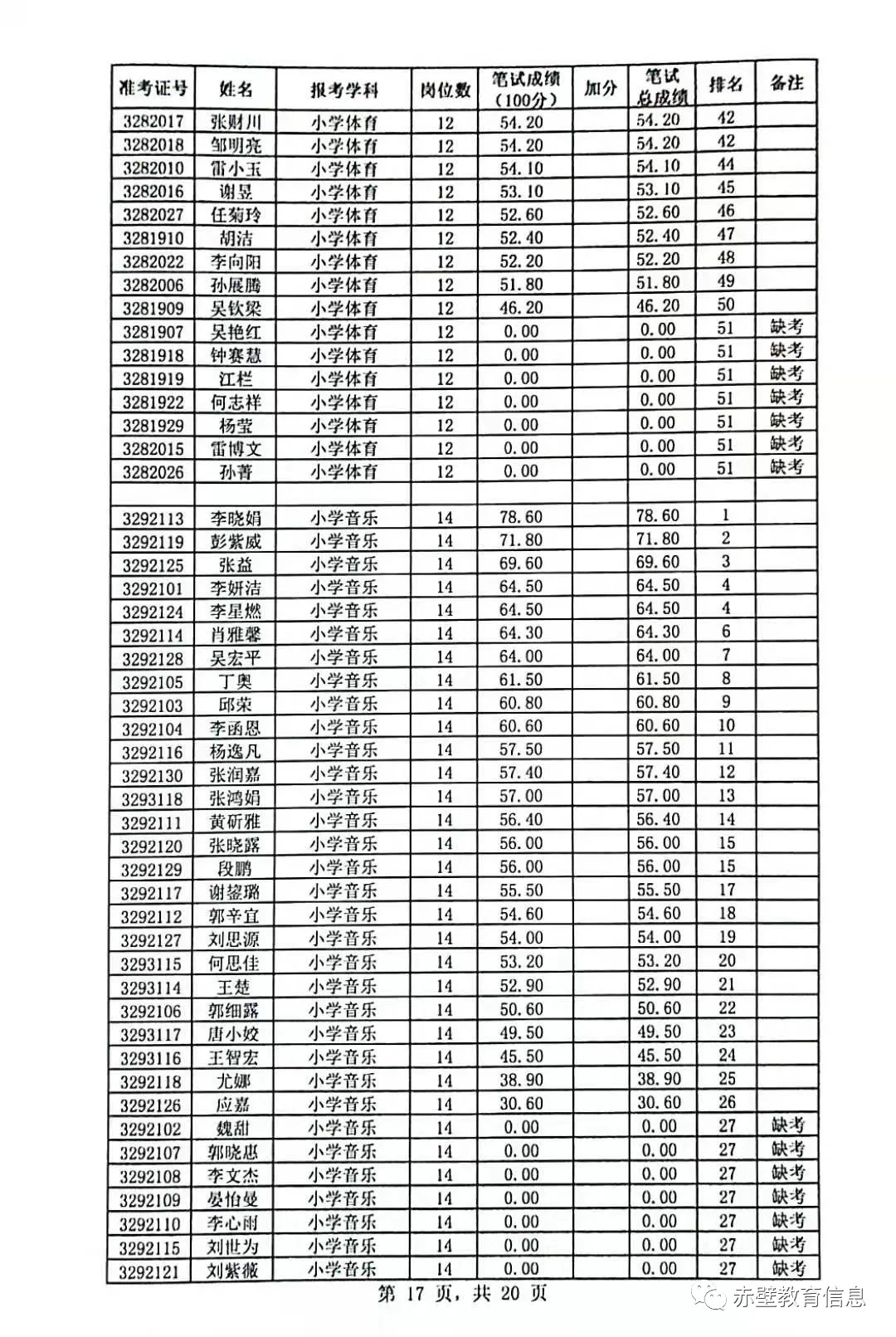
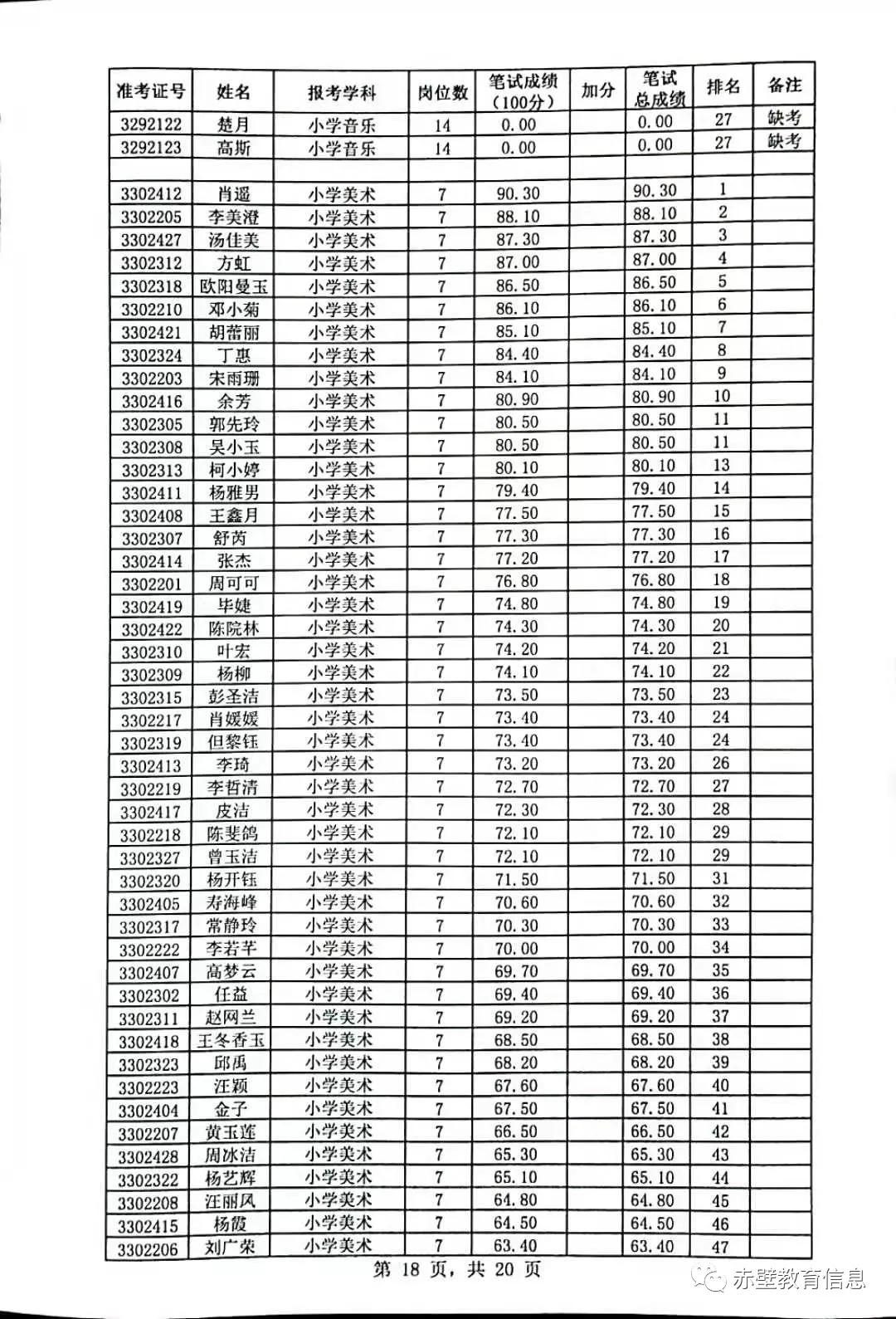
                2021年赤壁市城区学校教师和农村义务教育学校财务人员招聘笔试成绩册




















         
        
        本文来源于网络,不代表湖北人事考试网立场,转载请注明出处:http://www.hbrsks.cc/?id=13949